18+ Pcpt Risk Calculator


The Pcpt Prostate Cancer Risk Calculator The New Prostate Cancer Infolink


A Prostate Biopsy Risk Calculator Based On Mri Development And Comparison Of The Prospective Loyola University Multiparametric Mri Plum And Prostate Biopsy Collaborative Group Pbcg Risk Calculators Patel 2023


Validation Of A Ce Ivd Urine Exosomal Rna Expression Assay For Risk Assessment Of Prostate Cancer Prior To Biopsy Scientific Reports


Development And Validation Of A Prostate Biopsy Risk Calculator In Black Men Journal Of Urology


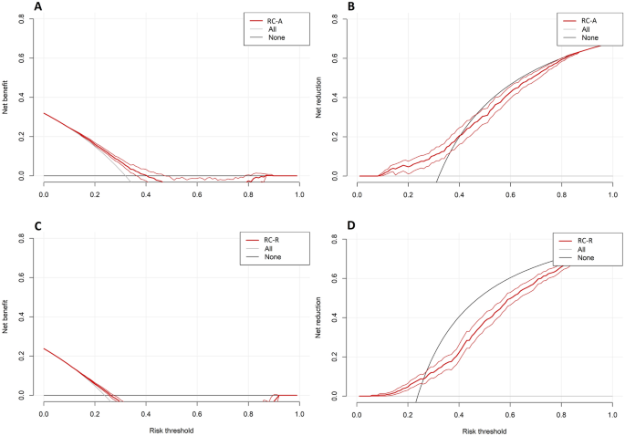
Aqidow2arzs8tm


Validation Of A Ce Ivd Urine Exosomal Rna Expression Assay For Risk Assessment Of Prostate Cancer Prior To Biopsy Scientific Reports


Kaiser Permanente Researchers Develop New Prostate Cancer Risk Calculator Kaiser Permanente Division Of Research


Version 2 0 Of Prostate Cancer Risk Calculator Online


Web Based Pah Risk Calculators Gilero


External Validation Of Two Mpmri Risk Calculators Predicting Risk Of Prostate Cancer Before Biopsy World Journal Of Urology


Clinical Analysis Of Ev Fingerprint To Predict Grade Group 3 And Above Prostate Cancer And Avoid Prostate Biopsy Fairey 2023 Cancer Medicine Wiley Online Library


The Pcpt Prostate Cancer Risk Calculator The New Prostate Cancer Infolink


Prostate Cancer Practice Essentials Background Anatomy


Cancers Free Full Text Magnetic Resonance Imaging Based Predictive Models For Clinically Significant Prostate Cancer A Systematic Review


Incorporation Of Urinary Prostate Cancer Antigen 3 And Tmprss2 Erg Into Prostate Cancer Prevention Trial Risk Calculator European Urology Focus


Seoul National University Prostate Cancer Risk Nomogram For Prostate Download Scientific Diagram


Article Of The Week Erspc Risk Calculators Significantly Outperform The Pcpt 2 0 In The Prediction Of Pca Bjui


A Risk Calculator To Inform The Need For A Prostate Biopsy A Rapid Access Clinic Cohort Bmc Medical Informatics And Decision Making Full Text

Iklan Atas Artikel

Iklan Tengah Artikel 1

Iklan Tengah Artikel 2

Iklan Bawah Artikel